天游线路检测中心反应热解 GC-TOFMS 和 NMR 对不同结晶度的聚对苯二甲酸乙二醇酯进行结构分析
MS 提示 400
聚对苯二甲酸乙二醇酯(PET)是由乙二醇和对苯二甲酸缩聚而成的具有优异透明度、韧性、刚性和耐热性的热塑性聚酯(图1)。 PET根据加工方法大致可分为两种:结晶PET(C-PET)和非晶PET(A-PET)。 C-PET由于结晶部分分子规则排列而具有高密度,具有高强度和耐热性的特点。 A-PET具有高冲击强度且易于弯曲。然而,由于长期天游线路检测中心和热历史,A-PET的无定形部分慢慢结晶,引起随时间的变化,密度的变化产生内应力,使聚合物链断裂,从而导致柔韧性、抗冲击性、强度等下降。因此,设计了一种聚合物,其中PET树脂中约30%至40%的乙二醇被环己烷二甲醇取代,这被称为乙二醇改性PET(G-PET,PETG)(图2)。 G-PET 被视为无定形树脂,因为聚合物在成型过程中不会结晶。
在本应用说明中,我们天游线路检测中心反应热解 GC-TOFMS 和 NMR 分析了两种市售 PET 树脂,并报告了每种树脂是 PET 还是 G-PET 的分析结果。
图1 PET(A-PET & C-PET)结构式
图2 G-PET结构式
实验
天游线路检测中心的样品是市售的膜状PET和冷冻粉碎的板状PET。各分析仪的测定条件如下所示。
反应热解 GC-TOFMS
测量时,使用配备热解器EGA/PY-3030D(Frontier Lab制造)的气相色谱飞行时间质谱仪JMS-T2000GC(天游线路检测中心制造)。将样品与10μL氢氧化四甲基铵25%w/w甲醇溶液(TMAH)一起进行测量(EI法:n=3,FI法:n=1)。 EI法的样品量为02mg,FI法的样品量为05mg。使用msFineAnalysis(天游线路检测中心制造)对获得的数据进行分析,分析薄膜状PET和板状PET这两个样本之间的差异,然后进行G-PET特征成分的定性分析和结构估计。其他详细条件如表1所示。
核磁共振
将样品溶解在三氟乙酸(TFA-d1)中并天游线路检测中心JNM-ECZL400S(JEOL制造)1H NMR测量。对于结构分析,我们参考了PoLyInfo (NIMS)的NMR数据库[1]。

表1 Py-GC-TOFMS测量和分析条件
| 热解条件 | |
|---|---|
| 热解器 | EGA/PY-3030D(前沿实验室) |
| 热解温度 | 400°C |
| GC 条件 | |
| 栏 | DB-5MS UI(安捷伦科技)30米×025毫米,025微米 |
| 烤箱温度 | 40°C(2 分钟)- 20°C/分钟- 320°C(10 分钟) |
| 注射模式 | 分割模式 (100:1) |
| 载流 | He:10 毫升/分钟 |
| 质谱条件 | |
|---|---|
| 光谱仪 | JMS-T2000GC(天游线路检测中心有限公司) |
| 离子源 | EI/FI 组合离子源 |
| 电离 | EI+:70 eV,300 μAFI+:-10 kV |
| 质量范围 | m/z 29 - 600 |
结果
反应热解GC-TOFMS测量结果
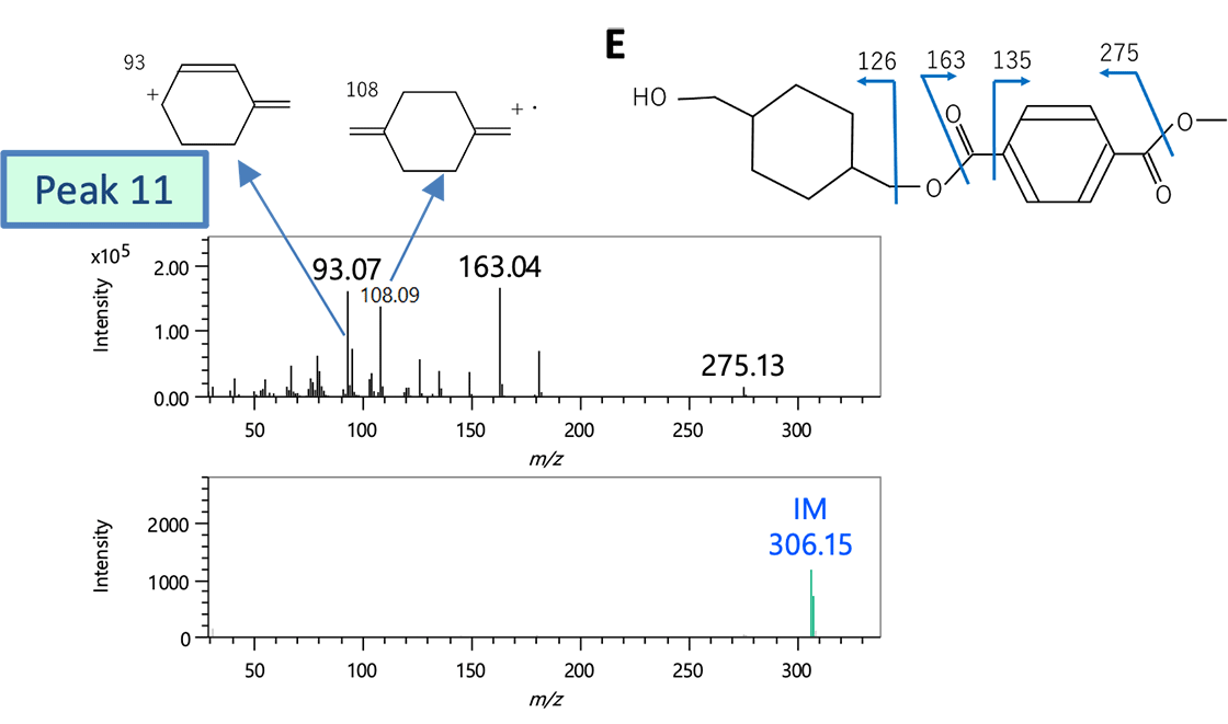
图3显示了反应热解GC-TOFMS的EI方法TICC(蓝色:膜状PET,红色:板状PET)。峰 1 至 3 被观察为两个样品的共同成分。另外,作为板状PET的特征成分,观察到峰4~11。表 2 显示了天游线路检测中心 msFineAnalysis AI 对平板 PET 中的峰 1 至 11 进行积分分析的结果。综合分析是利用EI谱图和FI谱图的分子离子组成推算结果,对库数据库(DB)检索结果进行综合分析,唯一确定组成式的方法。由此可知,峰1~3是作为PET的反应热分解物的对苯二甲酸和乙二醇的甲基化物。根据 DB 搜索和 FI 谱的分子离子组成估计的结果,估计峰 6 和 7 以及峰 8 和 9 是图 3 中的结构 B 和 C。虽然在 DB 搜索中没有找到峰 4 和 5 的相应化合物,但根据 EI 和 FI 谱的分子离子组成估计结果,估计它们具有结构 A。此外,由于峰4和5、峰6和7、以及峰8和9具有相同的分子式,因此推测它们是异构体。如上所述,发现峰4至9是源自环己烷二甲醇的具有不同甲基数的三种类型的反应热分解产物。还假设它们各自具有两种类型的异构体。
接下来,根据DB搜索结果和FI光谱的分子离子组成推定结果,推定峰10具有结构D,并且是反映PET的kozo式的反应热分解产物。另一方面,在DB搜索中没有峰11对应的化合物,因此当将EI谱与峰10的EI谱进行比较时,特征谱(m/z93, 108, 126) 和 FI 谱的分子离子组成估计结果。结果,推测结构E是对苯二甲酸和环己烷二甲醇的组合。
根据以上结果,推测薄膜状PET为PET(A-PET或C-PET),板状PET为G-PET。

图3 EI数据的TICC
表2 Plate PET综合定性分析结果

图4 峰10和11的质谱
11H NMR测量结果
图5显示PET薄膜和PET板1H NMR 谱。在两个样品的光谱中经常观察到源自对苯二甲酸和乙二醇的峰 1 和 2。另一方面,仅在板状PET中在1~5ppm的化学位移范围内观察到多个峰(峰3~12)。根据反应热解GC-TOFMS的结果,板状PET被估计为G-PET,因此我们在PoLyInfo上搜索聚合物名称,并将列出的NMR谱与观察到的NMR进行比较,确认存在高度相似性,并指定峰。结果发现,峰3至12源自环己烷二甲醇。 NMR 谱的独特之处在于结构异构体峰被分离,从而使分析成为可能。另外,由板状PET的各峰面积值算出乙二醇与环己烷二甲醇的比率,结果约为2:1。

图 51薄膜 PET 和板材 PET 的 1H NMR 谱
摘要
在本应用说明中,我们将天游线路检测中心反应热解 GC-TOFMS 和1H 我们报告了 NMR 测量和结构分析的结果。反应热解GC-TOFMS揭示了薄膜状PET和板状PET之间的结构差异,可以推断它们分别是PET(A-PET或C-PET)和G-PET。根据该信息1H NMR结果的分析变得更加容易,并且可以讨论结构异构体和乙二醇/环己烷二甲醇的比例。这样,在聚合物结构分析中综合利用每种方法获得的信息是有效的。
参考文献
[1] NMR 数据库,[访问时间:2022-08-31]
