天游ty8线路检测中心氮气载气通过 GC-MS 方法分析邻苯二甲酸二-2-乙基己酯、二氯乙腈和水合氯醛
MS 提示第 398 号
MS 提示第 398 号
1。简介
JMS-Q1600GC UltraQuad™ SQ-Zeta
在GC中广泛用作载气的氦气(He)可能会因各种情况而出现价格暂时上涨和供应条件不稳定等问题。如果出现供应延迟,则需要考虑天游ty8线路检测中心其他类型的载气作为替代气体。氢气和氮气主要被视为替代气体,如果优先考虑安全性,氮气相对更容易引入GC-MS。此次,我们天游ty8线路检测中心氮气作为载气,对自来水水质检测中的水质管理目标项目邻苯二甲酸二-2-乙基己酯、二氯乙腈、水合氯醛进行了检测。MS 提示 325相同的色谱柱进行测量结果,所有化合物在校准曲线的线性度和定量下限的重现性方面都获得了良好的结果,这将在本报告中介绍。
11 测量条件
天游ty8线路检测中心气相色谱四极杆质谱仪“JMS-Q1600GC UltraQuad™ SQ-Zeta”进行测量。测定条件如表1所示。如上所述,天游ty8线路检测中心的色谱柱相同,并且通过改变GC条件来测量每种化合物。另外,MS SIM导入时分析的各成分的监测离子,天游ty8线路检测中心了《关于水质标准的部令的制定、供水法施行规则的部分修正以及自来水水质管理的注意事项》(→以下简称通报法)中记载的值。
表1每种化合物的测量条件
| 参数 | 值 | ||
|---|---|---|---|
| 邻苯二甲酸二(2-乙基己基)酯 | 二氯乙腈和水合氯醛 | ||
| GC | 烤箱温度 | 50℃(2分钟)→20℃/分钟→180℃(0分钟)→5℃/分钟 →260℃(105分钟)→10℃/分钟 →280℃(5分钟), 总计42分钟 |
35℃(35分钟)→15℃/分钟→100℃(0分钟) →20℃/分钟→250℃(3分钟),总计183分钟 |
| 柱流量(氮气) | 1毫升/分钟 | 1毫升/分钟 | |
| 注射模式 | 不分流,吹扫时间 1 分钟 | 不分流,吹扫时间 05 分钟 | |
| 注射量 | 2uL | 1uL | |
| 专栏 | GL Sciences Inc InertCap 1MS,30m x 025mm 内径,1μm 膜厚 | ||
| 入口温度 | 250℃ | ||
| MS | 接口温度。 | 250℃ | |
| 离子源温度。 | 250℃ | ||
| 电离 | EI(20eV, 50μA) | ||
| 采集模式 | SIM 卡 | ||
2。邻苯二甲酸二-2-乙基己酯
21测量方法
通过用正己烷逐步稀释来制备,使得处理前的样品水中邻苯二甲酸二-2-乙基己酯的浓度为5、10、15和20μg/L。在测定样品中添加菲-D10作为内标物质,浓度为250μg/L。
22测量结果
邻苯二甲酸二-2-乙基己酯的校准曲线如图1所示。关于相对校准曲线的线性,相关系数为0999或更高。图2和表2显示了n=5时连续测定5μg/L样品时的SIM色谱图和定量值的变异系数。取得了良好的效果,5μg/L时定量值变异系数在5%以内,小于目标值80μg/L的1/10。
图 1 邻苯二甲酸二(2-乙基己基)酯的校准曲线
图 2 5μg/L 邻苯二甲酸二(2-乙基己基)酯的 SIM 色谱图
表 2 邻苯二甲酸二(2-乙基己基)酯在 5μg/L 时的系数变化 (CV)
| 定量值(μg/L) | 简历% | ||||
|---|---|---|---|---|---|
| #1 | #2 | #3 | #4 | #5 | |
| 5.16 | 5.19 | 5.19 | 5.18 | 5.18 | 0.2 |
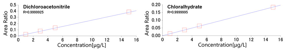
3。二氯乙腈和水合氯醛
31测量方法
处理前的试验水中的二氯乙腈和水合氯醛用MTBE逐步稀释,使得浓度为1、3、5和15μg/L。在测定样品中添加1,2,3-三氯丙烷作为内标物质,浓度为125μg/L。
32测量结果
二氯乙腈和水合氯醛的校准曲线如图3所示。关于相对校准曲线的线性,相关系数为0999或更高。图4和表3显示了n=5时连续测定1μg/L样品时的SIM色谱图和定量值的变异系数。取得了良好的结果,1μg/L时定量值变异系数在5%以内,小于目标值的1/10(二氯乙腈:10μg/L,水合氯醛:20μg/L)。
图3二氯乙腈和水合氯醛的校准曲线
图 4 二氯乙腈和水合氯醛 (1μg/L) 的 SIM 色谱图
表3 1μg/L二氯乙腈和水合氯醛的系数变化
| 化合物名称 | 定量值(μg/L) | 简历% | ||||
|---|---|---|---|---|---|---|
| #1 | #2 | #3 | #4 | #5 | ||
| 二氯乙腈 | 0.93 | 0.92 | 0.95 | 0.93 | 0.91 | 1.9 |
| 水合氯醛 | 0.99 | 1.03 | 1.01 | 1.00 | 1.00 | 1.7 |
4。总结
我们研究了在氮气载气中天游ty8线路检测中心同一色谱柱测量邻苯二甲酸二(2-乙基己基)酯、二氯乙腈和水合氯醛。校准曲线的线性度和浓度低于目标值 1/10 时的重现性良好,证实在氮气载气中天游ty8线路检测中心同一色谱柱进行测量是完全可能的。
