天游ty8检测中心氢气载气通过 HS-GC-MS 方法同时分析水中的 1,4-二恶烷和 VOC
MS 提示 428 号
简介
JMS-Q1600GC UltraQuad™ SQ-Zeta带 MS-62071STRAP
广泛用作 GC 载气的氦气 (He) 可能会因各种情况而出现价格暂时上涨、供应条件不稳定等问题。如果出现供应延迟,可能需要暂时考虑天游ty8检测中心其他类型的载气作为替代气体。氢气和氮气主要被认为是氦气的替代气体,氢气特别适合作为 GC 载气,因为它具有较宽的线速度范围,可以实现最佳分离。这次,我们天游ty8检测中心氢气代替氦气作为载气,并尝试天游ty8检测中心顶空(HS)-GC/MS方法来测量符合厚生劳动省规定的水质标准的挥发性有机化合物(VOC)。因此,我们能够获得显示良好再现性和检测灵敏度的数据,我们在此报告。
实验
天游ty8检测中心捕集型顶空装置 MS-62071STRAP 和气相色谱质谱仪 JMS-Q1600GC UltraQuad™ SQ-Zeta 进行测量。测定对象的挥发性有机化合物为表1所示的25种成分,制备浓度为01、02、05、1、2、5、10ppb的水溶液,作为测定样品。另外,在各测定样品中,以25ppb的浓度添加氟苯和对溴氟苯,以20ppb的浓度添加1,4-二恶烷-d8作为内标物质。
表1目标VOC清单(按字母顺序排列)

向各测定样品中每10mL添加3g氯化钠后,在表2所示的测定条件下进行测定,制作校准曲线。此外,各种法律法规要求的定量下限将1,4-二恶烷设定为5 ppb,其他VOCs设定为02 ppb。此次测定的测定样品中,浓度接近定量下限的样品,即1,4-二恶烷为1 ppb,其他VOC为01 ppb,连续测定n=5次,计算出定量值的变异系数(CV)。
表2测量条件

测量结果
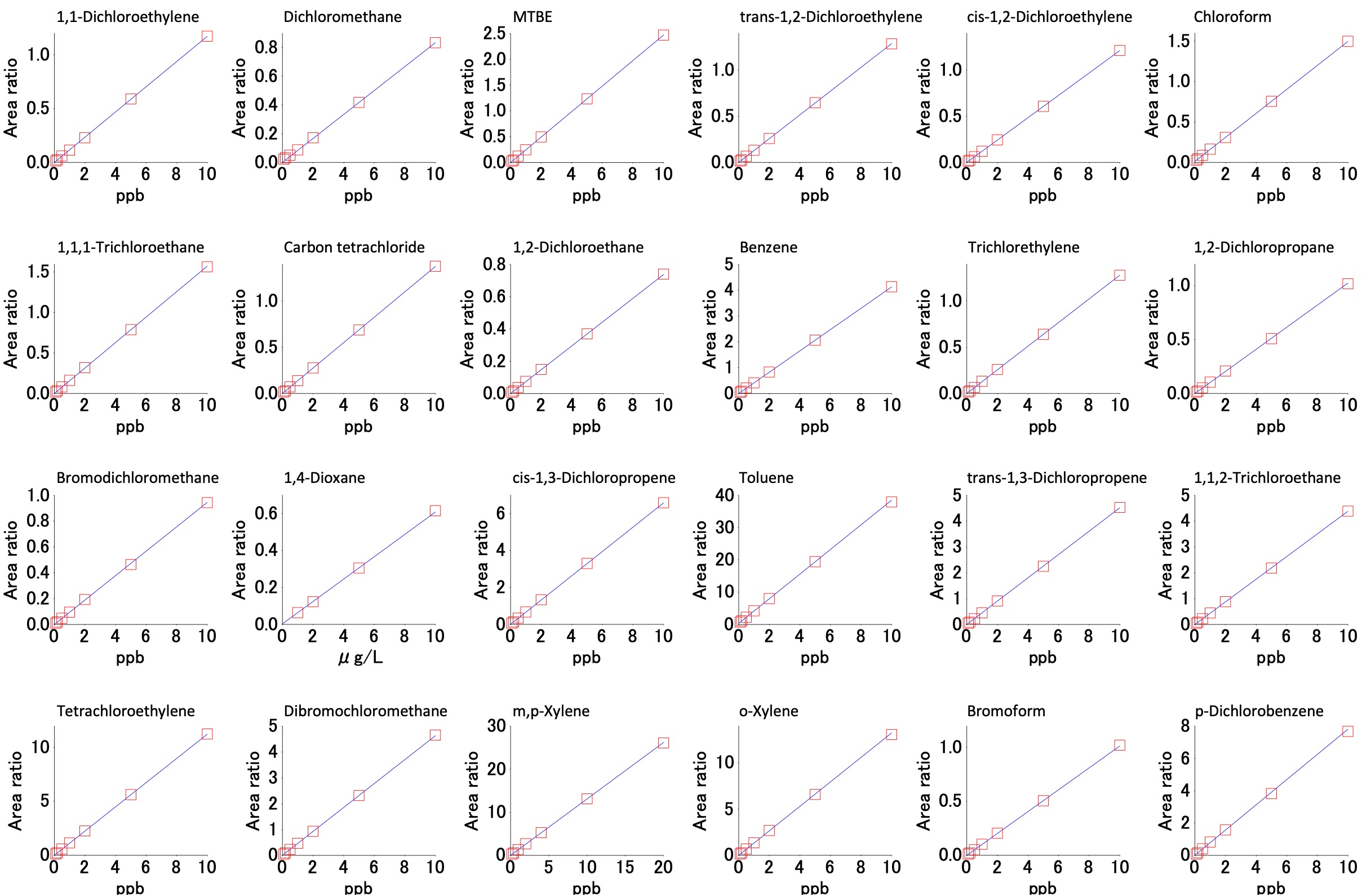
测量不同浓度的样品(1,4-二恶烷:1,2,5,10ppb,其他VOC:01,02,05,1,2,5,10ppb),创建的校准曲线如图1所示。此外,表3显示了校准曲线的变异系数(CV)和相关系数当连续测量5次样品接近各种法律法规规定的定量下限(1,4-二恶烷为1ppb,其他VOCs为01ppb)时。

图1 各VOC的校准曲线
表 3 CV以及 01ppb 浓度下每种 VOC 和 1ppb 浓度下 1,4-二恶烷的相关系数 (R)

所有 VOC 的校准曲线相关系数均为 09999 或更高,表明线性良好。另外,在定量下限附近的浓度变异系数为5%以下,完全满足各种法律法规要求的20%以下的值。
图 2 显示了接近下限的测量样品的前五次连续测量中每种 VOC 的 SIM 色谱图(1,4-二恶烷为 1ppb,其他 VOC 为 01ppb)。可知即使是最难获得灵敏度的成分1,4-二恶烷也检测到足够强度的峰。

图 2 浓度为 01 µg/L 的每种 VOC 和浓度为 1 µg/L 的 1,4-二恶烷的 SIM 色谱图
结论
我们尝试天游ty8检测中心氢气作为载气,天游ty8检测中心 HS-GC-MS 方法测量 VOC。结果,我们完全满足了各种法律法规规定的水中 VOC 测量要求的定量下限(1,4-二恶烷为 5 µg/L,其他成分为 02 µg/L)。
