通过多接收ty8天游线路检测中心减少ty8天游线路检测中心时间
NM200008
多接收ty8天游线路检测中心作为一种缩短 NMR ty8天游线路检测中心时间的方法近年来引起了人们的关注。多接收ty8天游线路检测中心的一个特点是在一种ty8天游线路检测中心方法中存在多个采集时间。通过导入单独的NMR信息,可以在一次ty8天游线路检测中心中获得多个ty8天游线路检测中心数据。虽然多接收ty8天游线路检测中心通常单独进行ty8天游线路检测中心,但由于多接收ty8天游线路检测中心是同时执行的,因此缩短了ty8天游线路检测中心时间。此外,每种ty8天游线路检测中心方法都可以与 NUS(非均匀采样)结合使用。但是,如果每种ty8天游线路检测中心方法之间的灵敏度存在差异,则需要根据灵敏度最低的ty8天游线路检测中心方法设置积分数,因此如果样本量较小,则ty8天游线路检测中心时间可能不会像预期那样减少。
① NOAH ty8天游线路检测中心
诺亚(N先生OrdredA使用1H-检测)是一种方便的ty8天游线路检测中心方法,可以连续ty8天游线路检测中心多个二维NMR。图 1 显示了一组包含 HSQC、HMBC 和 COSY 的 NOAH 脉冲序列。ty8天游线路检测中心结束时同时生成三个数据。图2显示10%肉桂酸顺-3-己烯-1-基酯/CDCl3ty8天游线路检测中心结果。与 NUS 结合使用时,可在约 5 分钟的极短时间内执行 3 次ty8天游线路检测中心。
为了提高可用性,我们为 NOAH 提供了专用自动化(图 3)。用户选择观察范围、Y点、积分次数以及是否使用NUS并执行。ty8天游线路检测中心完成后,会自动为每个数据设置适当的文件名和处理列表,因此可以按照与ty8天游线路检测中心每个单独数据时相同的方式进行分析。
图 1:NOAH-3 脉冲序列
图2:NOAH-3ty8天游线路检测中心结果:a) HSQC,b) HMBC,c) COSY
扫描:1,Y 点:256,NUS:使用率 25% ty8天游线路检测中心时间:5 分钟
图3:NOAH自动化设置屏幕
使用的设备
诺亚参考文献
- 埃里克斯。库普斯和蒂姆·DW克拉里奇、安吉奥化学。国际。埃德。工程,第 56 卷 (39),第 11779-11783 页 (2017)。
- JEOL 应用说明 NM190005“使用 NOAH 序列进行高通量二维 NMR ty8天游线路检测中心”
② 交错ty8天游线路检测中心
交错ty8天游线路检测中心在一种ty8天游线路检测中心方法中也有多个采集时间,就像 NOAH 一样。 NOAH ty8天游线路检测中心相同的核素,但这种ty8天游线路检测中心方法使用单独的接收器来捕获不同的核素。图4显示了交错COSY的脉冲序列。在第一个接收器中1H-1H COSY,在第二个接收器上19F-19F 观察舒适。图 5 显示了 10mg 伏立康唑/DMSO-d6 的交错 COSY ty8天游线路检测中心结果。与 NUS 配合使用时,可在约 3 分钟内完成两次ty8天游线路检测中心。
图 4:交错 COSY 脉冲序列
图 5:交错 COSY ty8天游线路检测中心结果 a)1H-1舒适,19F-19F 舒适
扫描:1,Y 点:256,NUS:使用率 25%,ty8天游线路检测中心时间:3 分钟
使用的设备
③ 三色堇ty8天游线路检测中心
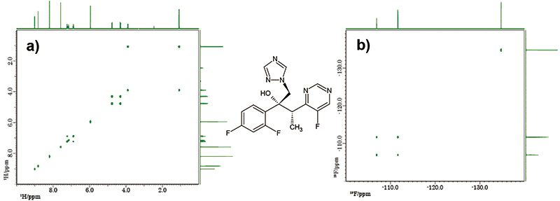
三色堇(P排列A征服N先生S光谱仪Y) 是一种并行执行多个采集的ty8天游线路检测中心方法。它主要是两种ty8天游线路检测中心方法的组合,每种ty8天游线路检测中心方法都使用单独的观测核进行捕获。与交错ty8天游线路检测中心的区别在于采集时序相同。图6显示了PANSY COSY的脉冲序列。使用 PANSY COSY1H-1H 舒适和19F-1H HETCOR。图 7 显示 15mg 1-乙氧基-2,3-二氟-4-(反式-4-丙基环己基)苯/CDCl3的PANSY COSY的ty8天游线路检测中心结果。此外,图 8 显示了 PANSY HMBC1H-13C 与 HMBC19F-13获得HMBC的C谱。图 9 显示了同一样品的 PANSY HMBC ty8天游线路检测中心结果。通过与 NUS 一起使用,可以在短时间内进行ty8天游线路检测中心。
图 6:PANSY COSY ty8天游线路检测中心的脉冲序列
图 7:PANSY COSY ty8天游线路检测中心结果 a)1H-1H 舒适,b)19F-1HHETCOR
扫描:1,Y 点:256,NUS:使用率 25%,ty8天游线路检测中心时间:3 分钟

图8:PANSY HMBCty8天游线路检测中心的脉冲序列
图 9:PANSY HMBC ty8天游线路检测中心结果 a)1H-13C HMBC,19F-13C HMBC
扫描:4,Y 点:256,NUS:使用率 25%,ty8天游线路检测中心时间:8 分钟
使用的设备
交错和三色堇参考文献
- 海伦娜·科瓦奇 (Helena Kovacs) 和埃里克斯·库普斯 (Eriks Kupce),马格。共振。化学。 2016, 54, 544-560
- 点击此处查看此页面的可打印 PDF。点击打开新窗口。
PDF 5427KB
