ty8天游官网登录 超高速MAS1ty8天游官网登录 1H 固态 NMR 分析药物配方中的氢键网络
NM180004
在药物制剂的开发中,活性药物成分 (API) 和共形成剂的键合形式的分析不仅从其物理性质的角度而且从知识产权的角度来看都极其重要。区分 API 和共形成物ty8天游官网登录离子键结合的盐和ty8天游官网登录非离子键结合的共晶,超快 MAS 高分辨率1H 使用氢核作为探针的固态NMR来分析氢键ty8天游官网登录是有效的。
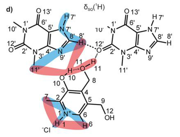
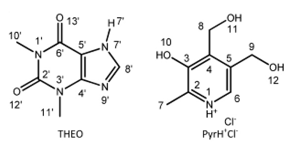
例如,两种药物,茶碱 (THEO) 和普赖多辛 (Pyr)H+Cl-之间的复杂晶体分析1该复合晶体有一个THEO NH,Pyr H+Cl-有 1 个 NH 和 3 个 OH 供体,总共 5 个 H 供体,预计具有复杂的氢键ty8天游官网登录。 (图1)即使我们实际使用单晶X射线,我们也无法理解ty8天游官网登录的细节。这里使用两种类型:J型和D型。14N-1H HMQC 测量。2-4J-HMQC 是14一种在旋转同步的同时间接观察 N 的简单测量方法。磁化转移是由于 J 耦合和残余偶极子耦合 (RDS) 发生的,主要是14N-1H另一方面,D-HMQC因旋转而消失14N-1ty8天游官网登录 SR4 脉冲序列恢复 H 个不同原子核之间的偶极耦合,使它们在空间上紧密接近14N-1检测H相关信息。ty8天游官网登录比较两个测量结果,14N-1我们可以区分H的键合形式,即盐或共晶。
图2a中14N-1H J-HMQC,图2b14N-1H 显示 D-HMQC 谱。14N-1H J-HMQC 是 THEO、Pyr H 的 N7'-H7'+Cl-的N1-H1中可以看到J相关性,这表明即使在复合晶体中N7'-H7'和N1-H1的共价键也得以维持。这表明两种化合物之间没有发生氢转移,形成盐。另一方面14N-1空间上接近HD-HMQC1H 和14N 对。此外,1可以获得H之间的邻近信息1H ty8天游官网登录结合DQMAS(图2c),可以绘制如图3所示的连接网络。该结构与基于单晶X射线优化氢位置的DFT计算结果非常吻合,保证了该NMR获得的氢键网络结构的准确性。
引自参考文献 1(版权所有于 2018 年美国化学会)
引自参考文献 1(版权所有于 2018 年美国化学会)
参考文献
- F。罗西、P C Vioglio、S Bordignon、V Giorgio、C Nervi、E Priola、R Gobetto、K Yazawa 和 MRChierotti,水晶。成长设计., 2018, 18 (4), 2225–2233
- S。 Cavadini、A Lupulescu、S Antonijevic 和 G Bodenhausen,J。是。化学。社会. 2006, 128, 7706
- Z。甘,J。是。化学。社会. 2006, 128, 6040
- YNishiyama、Y Endo、T Nemoto、H Utsumi、K Yamauchi、K Hioka 和 T Asakura,J。马格。共振. 2011,208, 44-48
- 点击此处查看此页面的可打印 PDF。点击打开新窗口。
PDF 681KB
