天游8线路检测中心使用例2~胭脂红染料中胭脂红酸的测定~
NM100007
NMR 可让您从光谱中读取组成分子的原子数。因此,可以根据标准物质和目标物质的信号的积分强度比来进行定量。定量核磁共振(天游8线路检测中心)无需待测物质的标准样品即可进行定量分析,因此待测物质的范围及其应用范围比其他定量分析更广泛。本应用笔记介绍了使用 天游8线路检测中心 对很难获得标准产品的胭脂虫红染料中胭脂红酸进行绝对定量的示例。
胭脂红酸胭脂虫提取物干燥介壳虫用乙醇或水提取得到的红色素。主要成分是胭脂红酸。
研究方法:天然色素胭脂红酸的商业产品(来自多个制造商的产品),这是一种食品添加剂,以及使用 天游8线路检测中心 检查胭脂虫红染料中胭脂红酸的纯度
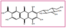
图1 胭脂红酸JNM-ECA600的天游8线路检测中心谱表2 试剂信息和胭脂红酸分析结果汇总

图2-2 LC峰与胭脂红酸纯度的关系(天游8线路检测中心纯度值)
摘要
- 天游8线路检测中心能够测定胭脂红酸以及胭脂虫红染料中胭脂红酸的纯度。
- 2。通过LC求出峰面积,确认了与所得的天游8线路检测中心纯度值的高度相关性。
⇒我们确认天游8线路检测中心可以作为定量标准产品很少分布的天然色素和着色化合物的有效定量分析方法。
