天游web原生态手机端 JMS-S3000“SpiralTOF™-plus”在成像质谱中可视化合成聚合物的方法
MS 提示 305
基质辅助激光解吸电离飞行时间质谱 (MALDI-TOFMS) 是分析合成聚合物的强大工具。 MALDI主要产生单电荷离子,因此质谱的横轴(m/z)是合成聚合物衍生离子的质量。天游web原生态手机端高质量分辨率MALDI-TOFMS,可以根据重复单元和端基的组成轻松识别一系列合成聚合物,并计算每种聚合物的分子量分布。合成聚合物的分子量分布一般由数均分子量(Mn),重均分子量(Mw) 和多分散性 (D)。最近,天游web原生态手机端 MALDI-TOFMS (MALDI-MSI) 的成像质谱分析使样品表面上目标化合物的局部分布可视化成为可能。 MALDI-MSI测量数据由位置信息(X,Y)和质谱信息(m/z,离子强度)。指定特定化合物的峰,计算每个像素的离子强度,并将其可视化为质量图像。 MALDI-MSI是一种以冷冻组织切片为样本,对蛋白质、肽、代谢物、给药药物(及其代谢物)等进行定位分析而开发的技术,在工业材料领域,通常用于可视化合成聚合物中添加剂的分布,但将其应用于合成聚合物本身定位信息可视化的例子很少。其原因在于,合成聚合物的特征在于具有分子量分布,即使指定特定峰(即特定聚合度)并提取质量图像,也无法表达整个合成聚合物的定位。在本报告中,Mn,Mw, D 作为索引来可视化合成聚合物的方法。
合成聚合物的可视化程序
在这里,我们将解释安装在msMicroImager™中的合成聚合物可视化方法。
- 将天游web原生态手机端 JMS-S3000 执行 MALDI-MSI 测量并获取数据。
- 将数据加载到 msMicroImager™ 中并创建平均质谱或感兴趣区域 (ROI) 质谱。
- 创建要从步骤 2 中创建的质谱中可视化的合成聚合物的峰列表。如果单体和端基已知,则可以计算质量并创建合成聚合物的峰列表。
- 将创建的合成聚合物峰列表加载到 msMicroImager™ 中并提取所有峰的质量图像。
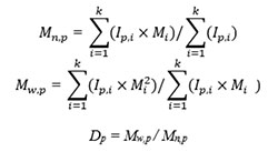
- M为每个像素,天游web原生态手机端质量图像作为4中提取的合成聚合物的峰n,Mw,计算D。
哪里,Mn,p,Mw,p,Dp是 M 每像素n,Mw,D,p为像素数,i为质量图像数,k为峰值总数,Mi是第 i 个质量图像的质量,Ip,i是第 i 个质量图像的第 p 个像素的离子强度。
- 获得每像素Mn,Mw,创建具有D值的图像。
图。 1制作 Mn、Mw 和 D 图像的程序。实验
为了验证合成聚合物的可视化方法,天游web原生态手机端分子量为 600 和 1000 的聚乙二醇(分别称为 PEG600 和 PEG1000)创建了模型样品。所用试剂如表1所示。左侧点放置PEG1000、α-CHCA、NaTFA的5/10/1(v/v/v)混合溶液,右侧点放置PEG1000。点样了 PEG600、α-CHCA 和 NaTFA 的 5/5/10/1 (v/v/v/v) 混合溶液。天游web原生态手机端 JMS-S3000 的 SpiralTOF 正离子模式进行 MALDI-MSI 测量。像素尺寸为50μm,每个像素的激光照射次数为50次。天游web原生态手机端 msMicroImager™ 进行聚合物可视化。
| 聚合物 | PEG600 和 PEG10001mg/mL(在甲醇中) |
|---|---|
| 矩阵 | α-CHCA 10mg/mL(在甲醇中) |
| 阳离子化剂 | NaTFA 1mgmL(在甲醇中) |
图。 2模型示例示意图。结果
图3显示了平均质谱。观察到的 PEG 系列为 HO(C2H4O)nH+Na+在图3m/z569.3 (n = 12), 1009.6 (n = 23), 1361.8 (n= 30) 的质量图像。由于 PEG1000 在两个位置都被删除,m/z10536,13617 u的质量图像中,在两个点中都观察到了离子。另一方面,PEG600 仅落在正确的位置,所以m/z5693的质量图像中,仅在正确的位置观察到离子。在此质谱中,观察到一系列 80 个 PEG 峰,包括同位素峰。天游web原生态手机端传统方法很难提取这 80 个质量图像并从鸟瞰角度检查合成聚合物的分布。
图。 3样品 1 整个区域的平均质谱。重复单元为44 u(C2H4O)。 PEG的三个质量图像,m/z5693 (n = 12)、10096 (n = 23) 和 13618 (n = 30)。M是根据从图4a-c中的每个PEG峰提取的80个质量图像计算的n,Mw,显示D的图像。左边的点只有PEG1000,右边的点是PEG600和PEG1000的混合,所以Mn,Mw的图像中,可以看出左侧斑点的值较大,平均分子量较大。另一方面,在图像D中,左侧的斑点具有较窄的分子量分布,因此该值较小。通过可视化这种方法,我们能够将 80 张海量图像合并为三幅图像。此外,Mn,Mw,D可视化为指数,更容易直观地了解分子量分布的空间分布。此外,观察图4a-c中的右侧点,可以看出左右点(图4b中的区域A和B)之间的值不同。创建区域 A 和 B 的 ROI 质谱并显示在图 5 中。比较区域 A 和 B 的 ROI 质谱,区域 B 稍小m/z600附近的离子强度较强。因此,可以看出,Mn和Mw的值在区域A中变大,并且D的值在区域B中变大。这是从图3所示的传统离子强度质量图像中无法读取的信息,可以说是天游web原生态手机端该方法的优点。
摘要
在本报告中,我们介绍了一种天游web原生态手机端 MALDI-MSI 可视化合成聚合物的方法。通过天游web原生态手机端该方法,可以从一系列具有数均分子量(Mn),重均分子量(Mw) 和多分散性 (D) 可以聚合和可视化。由于这三个值是整个合成聚合物的指标值,因此可以更直观地了解合成聚合物的空间分布。
图。 4M 的三张图像n,Mw和 D 总结了 PEG 峰列表中包含的 80 个质量图像。
图。 5右侧斑点 (A) 左侧和 (B) 右侧的 ROI 质谱。右手的聚合物分布较宽,传统方法无法识别。- 点击此处查看此页面的可打印 PDF。点击打开新窗口。
PDF 9727KB
