天游线路检测中心高空间分辨率扫描电子显微镜评估和分析纳米结构材料
JEOL 新闻第 49 卷第 1 期 寺崎修1,朝比奈俊介2,咲田佑介2,高桥秀之2,堤健一2,工藤正人3,罗伯特·W·科克里4,5,马彦航11上海科技大学2天游线路检测中心株式会社3天游线路检测中心技术有限公司4瑞典 KTH(皇家理工学院)化学系,5澳大利亚国立大学应用数学系
扫描电子显微镜 (SEM) 是一种用窄聚焦电子束照射和扫描样品表面的方法,以纳米级空间分辨率观察样品表面的不规则性、成分、晶体结构和化学键信息,例如二次电子、反射电子和从表面发射的特征 X 射线 [1, 2]。通过降低入射电子的能量,可以抑制电子束照射损伤和对绝缘体图像的不利影响,同时可以选择性地从表面获取信息[3]。近年来,电子光学技术的进步使得即使对于能量约为1keV的入射电子也可以获得10nm以下的空间分辨率,并且电子束和特征X射线光谱的进步使得可以获得作为位置函数的组成信息、晶体信息、化学键信息等。在本文中,除了天游线路检测中心最新的FE-SEM观察表面结构外,我们还天游线路检测中心俄歇电子能谱(AES)研究了在低加速电压条件下获得的图像对比度的来源,并分别天游线路检测中心EDS和软X射线能谱仪获得了成分和化学键信息,以了解纳米结构材料所表现出的特性。
实验低加速电压SEM天游线路检测中心光学系统
首先,我们来考虑天游线路检测中心探针直径的大小如何控制 SEM 的分辨率 [4]。主要因素之一是“天游线路检测中心辐照系统”的性能和功能。天游线路检测中心辐照系统由天游线路检测中心枪、多个天游线路检测中心透镜、光圈、偏转器等组成,用天游线路检测中心枪发射的一组天游线路检测中心作为细天游线路检测中心探针照射样品。将从发射器发射的天游线路检测中心提取为具有一定排列程度的天游线路检测中心束的部分称为天游线路检测中心枪。理想情况下,天游线路检测中心枪会创建一个点源,从单个点产生天游线路检测中心。然而,实际上,它并不是一个完全理想的点光源,而是对发射器及其电极的形状以及施加的电压进行了设计,以优化电场的分布,以创建尽可能小的圆盘形光源。这个圆盘被称为虚拟光源,跟随它的每个天游线路检测中心透镜将这个虚拟光源(来自每个点的天游线路检测中心)尽可能地聚焦在样品表面上,并将其成像为天游线路检测中心探针。为了使天游线路检测中心探针内部的电流分布尽可能集中在天游线路检测中心光轴上,在天游线路检测中心辐照系统中安装了隔膜,以隔断偏离轴的周边部分。从天游线路检测中心枪发射并通过其孔径的所有天游线路检测中心(探针电流量ip) 是包含物侧张角的圆锥的半顶角αo通过改变聚光透镜的强度αo,依次ip可以改变。当天游线路检测中心束以圆锥形聚焦在样品表面时,圆锥体的半顶角成为讨论分辨率时的一个重要参数,并被定义为像侧孔径角αi代表。如稍后将描述的,根据探针电流,存在使探针直径最小化的像侧开口角的最佳值。因此,通过调整孔径角控制透镜和物镜的强度来设定最佳的像方孔径角。天游线路检测中心透镜线圈产生的磁场在天游线路检测中心旋转轨道时始终充当中心力,使它们沿光轴方向弯曲,因此天游线路检测中心透镜始终是凸透镜(图1(a))。另外,αo是啊αi的值非常小,约为毫弧度,但这个数字在垂直于光轴的方向上放大了。虽然未示出,但在物镜上方或下方设置有用于在样品表面上扫描天游线路检测中心探针的偏转器和用于校正天游线路检测中心束行进方向上与光轴的偏差的偏转器。样品表面上的天游线路检测中心探针的直径不能无限小,并且由于下述的亮度限制以及由于天游线路检测中心透镜的缺陷和天游线路检测中心本身的波动性质而对各种光学像差的限制而受到膨胀。下面简要显示了这些限制。
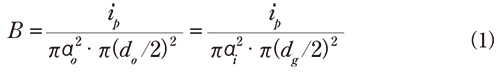
天游线路检测中心枪发射的天游线路检测中心源不是点光源,而是受到其有限尺寸的限制。天游线路检测中心枪的亮度B定义为单位立体角和单位面积的天游线路检测中心电流量。另一方面,由于无论您观察天游线路检测中心束的哪个横截面,亮度都保持不变(恒定亮度定律),B在物面侧(天游线路检测中心枪侧)定义的值与在像面侧(样品面侧)定义的值相等。即
哪里,do是虚拟天游线路检测中心源的直径,dg是由于亮度限制而在样品表面上的探头直径*(1) 由公式
亮度B的值随着加速电压的降低而降低。
ai太小以至于由于天游线路检测中心透镜的球面像差而扩散ds可以用下面的公式来近似。
Cs是物镜的球差系数(在像侧定义)。球差是由于天游线路检测中心轨迹离光轴越远,天游线路检测中心轨迹比靠近光轴的天游线路检测中心轨迹弯曲得越多,并且探针越早穿过光轴而引起的。
Cs由镜头的各种尺寸和天游线路检测中心条件决定。即使是同一镜头,电子镜头的焦距越长,球差系数越大Cs变得更大。
从天游线路检测中心发射器发射的天游线路检测中心能量具有与发射器温度相对应的热波动。这种波动引起的探头直径的扩大就是色差引起的扩大dC致电
哪里,V是天游线路检测中心加速电压,δV是天游线路检测中心通过物镜时的能量扩散(从天游线路检测中心枪发射时的能量宽度),CC是物镜的色差系数(在像面侧定义)。色差是由于随着天游线路检测中心能量的增加,它们变得难以弯曲,并且镜头的焦距变长而引起的。类似于球差系数,CC由镜头的各种尺寸和天游线路检测中心条件决定,焦距越长,色差系数越大CC变得更大。另外,δV不依赖于加速电压,当加速电压变低时,色差引起的扩展变得更大。
由于天游线路检测中心束是具有质量的物质波(德布罗意),因此会发生衍射。由于天游线路检测中心探针的外部被孔径阻挡,因此在那里发生衍射现象,扩大了探针直径。其膨胀直径dd,如果天游线路检测中心束的波长为λ,
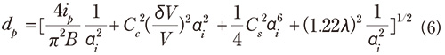
加速电压越低,天游线路检测中心束的波长变得越长,因此衍射像差变得越大。 (λ~(15/V)1/2(纳米):V单位是伏特)由于这些限制项的叠加而产生的最终探头直径dp已确定。由于每个事件都是一个独立的事件,可以用高斯函数来近似,因此整体可以表示为高斯卷积。因此dp可以近似地表示为(2)至(5)中给出的探头直径的平方和的平方根,如下所示。
这个公式是半经验得出的,但很符合实际。该方程的右边是αi2,αi2和αi6包含dpi存在且 α 给出其最小值i称为最佳张角。特别是在高分辨率SEM中,控制电光透镜系统和孔径直径以始终获得最佳孔径角,但为此目的,孔径后面至少需要两个透镜(需要两个自由度)。因此,设置“光圈角控制透镜”,调整该透镜和物镜的强度,以设定最佳的像侧光圈角。然而,对于廉价的 SEM,这种透镜通常不是内置的,因此通过在几种不同的孔径直径之间进行切换,可以在较宽的探针电流值范围内将孔径角设置为尽可能接近最佳孔径角。当入射电压降低时,由于λ增加,衍射像差增加。此外,由于亮度降低,因此亮度限制项变大,并且最佳孔径角也变大。因此,等式(3)和(4)给出的像差项增加,导致探头直径总体增加(分辨率恶化)。很难肯定地说哪一项将是主要影响,因为它取决于天游线路检测中心枪的类型和探针电流量的条件。亮度限制项在场发射型天游线路检测中心枪中没有太大影响,但在热离子发射型天游线路检测中心枪中,根据物镜像差系数的大小,它可能成为探针电流量的整个范围内的主导因素。另外,场发射型的情况下,角电流密度大,但探针电流μ如果尝试将角度增大到A级,物侧孔径角会增大,聚光透镜的球差会变强,导致探头直径迅速增大。在低加速电压下保持较小光束直径的方法之一是减速法(简称Gentle Beam:GB),其原理如图1(b)所示。电子在高加速电压下通过物镜,被样品表面产生的静电场减速,形成磁场和电场的复合透镜,可以降低球差系数Cs和色差系数Cc。 [2, 5]。例如,假设加速电压为 3 kV(-3 kV 施加到枪),样品偏压为 -2 kV。此时,到达样品的电子的能量为1 keV。此外,JEOL 的 FE-SEM JSM-7800FPRIME 具有结合了中间加速方法的电子光学系统。这种方法也称为超级混合镜头(SHL)。中间加速法是将电子枪与样品之间的相对电位差确定为入射电压值,使电子在通过电子照射系统时电压暂时升高,使在此期间进行的电子光学聚焦动作的各种像差尽可能小,并使最终照射样品表面的电子探针的直径尽可能小的方法。原则上,物镜是电磁场叠加型的[6]。该 SHL 从进入物镜之前一直加速直至退出。图1(c)显示了示意图和每个探测器的布置。该物镜也称为超级混合透镜(SHL)。通过将其与上一节中描述的GB方法相结合,即使天游线路检测中心不受透镜内或半透镜内物镜限制的通用物镜,也可以以低入射电压获得高空间分辨率。
图。 1:天游线路检测中心光学和探测器示意图

区分二次天游线路检测中心和背散射天游线路检测中心
最近的 FE-SEM 在柱内安装了栅极(能量过滤器)和检测器,从而可以分离和检测二次电子 (SE) 和背散射电子 (BSE)。也就是说,将指定的电压施加到位于UED和USD之间的网格上,该网格位于物镜正上方,并且电子的能量使得SE能够被USD检测到,BSE能够被UED检测到。天游线路检测中心该UED,即使在低加速电压下也可以获得具有良好信噪比的背散射电子图像。图 2 显示了负载 Ru 和 Pt 簇的碳的背散射电子图像。箭头所示的簇在 3 kV 的背散射电子图像中观察到明亮的对比度,但在 1 kV 时不可见。这表明逃逸深度根据背散射电子的能量而变化。能量为1 keV和3 keV的电子的逃逸深度分别为t1,t3如果该金属团簇的深度t为t1< t < t3这种在改变入射电压的同时获得所观察粒子的深度信息的方法是有用的。
图。 2、在碳上钌和铂上的过滤图像。
样品:碳上的钌和铂,检测器:UED 滤光片偏压:-500 V低加速度和低入射电压SEM观察的样品制备
在对纳米结构材料,特别是电绝缘体粉末进行SEM观察时,调整样品台和样品需要注意一些要点,以增加从颗粒表面到样品台的有效电导率。在这里,我们将讨论一种在低入射电压下高分辨率观察 SEM 图像的简单而有用的方法,并以天游线路检测中心绝缘体 FAU 沸石纳米粒子处理样品时的注意事项为例。高纯度碳用作固定样品的支架。用砂纸打磨碳架后,用滤纸进一步打磨,直至变得光亮。接下来,将粉末样品分散在乙醇中,天游线路检测中心超声波清洗器充分搅拌,然后滴到碳台上,并在150℃下加热约20分钟。通过该热处理充分去除分散体的重要性如图 3 所示,该图显示了加热和不加热的 SEM 图像的比较。从比较中可以看出,当加热时,碳台变得非常干净,可以观察到其表面的凹凸不平,同时,污染物成分从碳台和样品内部向样品表面的移动受到抑制,获得了更清晰的图像。
图。 3、无加热与有加热的比较。
样品:沸石 FAU,加热条件:150°C 20 分钟观察条件的选择
低加速电压SEM观察中,加速电压(天游线路检测中心枪)和样品入射电压(冲击能)的选择尤为重要。为了了解目标结构,确定最佳样本深度并设置加速电压和样本偏置电压非常重要。作为示例,图4(a)显示了微孔钛硅酸盐(Ti16硅80o208(钠,钾)n,ETS-10),图4(b)显示了相同条件下的蒙特卡罗模拟结果[8]。在 04 kV 的低入射电压下,可以清楚地看到表面的台阶。进一步将电压提高到08 kV会增加边缘效应,使极细的凹凸结构显得更加突出。在 16 kV 下,观察到反映内部结构的晶体对比度。根据想要获得的信息设置观察条件是纳米结构材料分析中的一个重要因素。
图。 4
(a) 不同着陆电压的比较。
(b) 每个着陆电压下的蒙特卡罗模拟。
天游线路检测中心俄歇电子能谱 (AES) 方法的低加速电压 SEM
AES 天游线路检测中心静电半球形检测器进行电子光谱分析 [9]。电子被引入施加电压的半球,并在进行光谱分析时减速,从而产生具有高能量分辨率的电子光谱。在此,我们将通过 AES 减速法获得的电子光谱来考虑低加速电压 SEM 中对比度和分辨率的原因。图。图5显示了样品的FE-SEM图像,其中金(Au)被溅射到一半的碳上并且其强度分布被覆盖。在着陆电压为 500 V 时,碳比金更暗,在着陆电压为 220 V 时,碳变得更亮。历史上,这种区别是根据发射电子的动能小于或大于约 50 eV 来进行的。 BSE的主要成分是弹性散射,其中电子在样品内部的散射过程中不损失能量,而SE是电子通过非弹性散射从表面附近逃逸并损失能量,通常在~20 eV处有一个峰值。图。图6示出了在相同的入射电压条件(入射电压:500V、220V、偏置-280V)下获得的AES光谱。此处,偏置产生的场在电子进入样品之前充当电子的减速场,并在电子离开样品后充当加速场。通过施加 –280 V 的偏置,通过该场以 500 V 加速的入射电子的能量在样品表面变为 220 eV (500-280)。请考虑下面的图 7,SE 在较低光谱中分解为 ~20 eV (SE3) 和 ~300 eV(SE1 和 SE2)乘以偏置。从相互作用体积发射的 BSE 能量在样品表面正下方为 220 eV,但它被 Bias 加速并变为 500 eV (220+280),无论是否存在 Bias,该值都是相同的值。另一方面,从样品表面发射的二次电子(SE1+SE2)被Bias加速,能量约为300 eV(~20+280),加速的二次电子和背散射电子与显微镜内部组件碰撞时产生的新生成的二次电子(SE3)在~20 eV处有峰值。 SE3的强度达到SE1+SE2强度的一半,除了减少SE3分量外,选择性地补充(SE1+SE2)中的SE1分量是提高二次电子图像分辨率的关键。在图 6(a)中,在 500 V 的入射电压下,Au 显示出较高的二次电子(SE)和背散射电子(BSE)计数。另一方面,在图6(b)中,在220V(减速场-280V)的入射电压下,C的SE和BSE都比Au高。特别是,C 的强度大约是 BSE 的两倍。该光谱是在样品倾斜30°时获得的,与FE-SEM并非完全相同的系统,但相同条件下获得的FE-SEM的图像对比度与AES获得的光谱的关系相符。尽管我们计划在未来进行详细分析,但我们相信这种方法将有助于解释低入射电子能量 SEM 中的图像对比度。
图。 5 不同着陆电压对比。

图。 6 有和没有减速方法的AES谱比较。

图。 7:样品内外产生BSE/SE和特征X射线示意图

大景深:LDF
已知SEM比其他光学仪器具有更大的焦深,而决定焦深的主要因素是像侧孔径角(αi)。在普通SEM中,物镜用于将电子束聚焦到样品上,但通过在物镜正上方天游线路检测中心新推出的孔径角控制透镜(ACL)代替物镜(LDF模式),可以使样品上的孔径角变得非常小。这种情况示意性地显示在电子束的光路图中(图8)。因此,当天游线路检测中心LDF模式时,可以获得具有非常深的焦深的信息,同时抑制周边畸变。天游线路检测中心蝴蝶荧光粉展示了这样的一个例子。传统观测方法的空间分辨率虽好,但焦深较浅。另一方面,天游线路检测中心LDF时,焦深较深,图像失真得到抑制,即使高度差异很大,也可以观察和分析材料。图9所示为普通模式和LDF模式下获得的蝴蝶鳞片的观测结果。将样品涂上锇后进行观察。从侧面或顶部观察时可以看到,在低倍率条件下,LDF模式可以进行长焦距观察,而不会明显失焦。差异在箭头①所示的区域尤其明显。另外,在正常模式下,在箭头②所示的观察图像周围会看到一些失真,但在LDF模式下,几乎看不到失真。
图。 8、LDF模式原理。

图。 9:SEM图像:普通模式与LDF模式的比较

秤的观察结果
每个人都有童年追蝴蝶的记忆。每种蝴蝶都有不同的神秘颜色和图案,当您抓住一只蝴蝶时,它会在您的手指上留下彩色粉末(鳞片),而其翅膀的美丽颜色也会褪色。与此同时,它的超疏水(拒水)翅膀会变形为可以在雨中淋湿的形状。观察红尾蝶(C rubi)的翅膀时,在深焦深条件下,可以在翅膀表面观察到大范围的鳞片(也称为鳞片)和垂直延伸的鳞片,像屋顶瓦片一样覆盖翅膀。与普通模式下拍摄的图像相比,从顶部和侧面图像可以明显看出,长焦模式下的焦深更深,并且周边区域的畸变量也有所减少。水垢粉 (~ 20μ米×~160μm)的鳞片和鳞片时,我们看到它们的内部结构有相似之处,两者的形状相似,并以插座状的方式连接到机翼表面(图10)。机翼的结构清晰可见,粗肋平行于小木船的底部,大量细肋垂直于船脊,间隔一定间隔交叉加强肋,仿佛桅杆垂直延伸(图11)。此外,当具有不同折射率的材料周期性排列时看到的结构色通常具有很强的方向性,如在蛋白石中看到的那样,但在切片样品中可以清楚地看到单个螺旋体(晶胞〜340 nm),这就是停止的红宝石的翅膀从各个方向表现出几乎相同的结构色(绿色)的原因[7]。
图。 10【LED拓扑对比蝴蝶细节】

图。 11、横截面比例的详细信息。

天游线路检测中心高立体角 EDS 检测器分析纳米结构
从Si-Li探测器开发出具有短计数器死区时间的漂移探测器(SDD),使得能够探测大动态范围(高计数率)的X射线。此外,选择检测元件的尺寸和形状的自由度也扩大了,使得设计具有更高立体角的检测器成为可能。目前最大受光面积为150cm2已经实现,并且开发了一种探测器,不仅可以通过组合多个探测器来提高探测速度,还可以抑制其他部件对探测器造成的阴影和渐晕的影响。此外,随着没有 Be 窗口来保护探测器的无窗探测器的出现,检测和量化低原子序数原子(金属 Li,以前无法检测到)变得可能。此处显示了 Co-ZIF-8@Zn-ZIF-67 的示例(沸石咪唑酯骨架:ZIF)。 Co-ZIF-8和Zn-ZIF-67除了具有Co和Zn金属簇之外,具有相同的晶体结构(空间群)和相同的晶体轮廓(菱形十二面体),并且它们也具有几乎相同的晶格常数,因此从粉末X射线衍射实验中无法区分它们。图 12 显示了从经 Ar 离子铣削处理的晶体横截面获得的背散射电子图像和元素图。天游线路检测中心JEOL制造的IB-19520CCP来制备横截面。天游线路检测中心Ar离子处理样品(加速电压:4 kV,处理时间:4小时),同时冷却至-120°C以下。该图像在本实验中首次揭示了ZIF-8@ZIF-67晶体是表面由Co和内部Zn簇形成的ZIF,Co-ZIF-8和Zn-ZIF-67在保持晶体取向(外延生长)的同时生长,形成核壳结构。还可以看到,表面有一层较薄的Co氧化物,如箭头①所示,以及如箭头②所示的约100 nm厚的均匀层。接下来,我们尝试天游线路检测中心高立体角(约 02 sr)EDS 探测器进行高空间分辨率的元素映射。样品是碳负载 Ru 和 Pt 纳米团簇(图 13)。这是三款 Oxford X-Max 150 mm2(总有效面积450mm2)。入射电压为30 kV以获得高空间分辨率。天游线路检测中心高立体角(约 02 sr)EDS 探测器,我们在 30 分钟的测绘后成功测绘了约 5 nm 的 Pt 粒子 [10]。这表明现在可以在几纳米的纳米结构中绘制元素图,这在以前用 SEM 很难做到。
图。 12:Co-ZIF-8@Zn-ZIF-67截面的EDS分析。
着陆电压:3 kV,探头电流:100 pA,采集时间:30 分钟,探测器:Oxford 150 mm2图。 13高空间分辨率高立体角EDS图
Pt/Ru@Polymer 的 SE 图像 (a) 以及红色 C(K 线)、黄色(c)Ru(L 线)和绿色(d)Pt(M 线)的 EDS 图,根据 acc 拍摄。电压:30 kV,持续 8 分钟,天游线路检测中心 3 个 150 mm 单元的 SDD2.比例尺:100 nm,样品:Ferdi Schüth 教授Pt-Ni纳米框架
这是杨培东教授(加州大学伯克利分校)课题组的成果,倪3从 Pt 纳米晶体开始,多孔 Pt 在氧还原反应 (ORR) 中的活性提高了两个数量级3这是受到一篇论文 [11] 的启发,其中创建了 Ni 纳米框架。图 14 显示了 SEM 观察样品的有效性,包括在低能量下。样品A(Ni3Pt 纳米晶体)在油胺中 当制备均匀尺寸的用油胺封端的纳米晶体并将其置于非极性液体(己烷或氯仿)中时,样品 C(Pt3Ni纳米骨架),通过SEM观察可以清楚地看到其进展。也就是说,起始样本A几乎是Ni3Pt成分的A1结构(无序)fcc结构)合金,其纳米晶体示意性地显示fcc的维格纳塞茨细胞样轮廓另一方面,样品C(成分分析结果:Pt)3Ni),Pt 优先占据绿线所示的电池边缘,留下多孔 Pt3镍纳米框架。这个结果可以通过选择合适的SEM观察条件来获得。科学中描述的结构评估部分相对应的大量有用信息。获得,特别是可以更清晰地获得三维空间信息。
图。 14.Ni-Pt合金纳米骨架的分析。

软X射线光谱分析
此外,X 射线分析技术不断创新,最近开始天游线路检测中心将软 X 射线发射光谱 (SXES) 融入 FE-SEM 的新分析方法 [12, 13]。该SXES具有03 eV的高能量分辨率,可以提供反映价带电子过渡态的信息,使分析化学态成为可能。测量原理如图15所示。为了解释测量原理,首先,天游线路检测中心特性软X射线光谱仪将样品产生的X射线通过聚焦镜收集并引导至衍射光栅。这种衍射光栅具有不均匀间隔的凹槽,因此其独特之处在于它可以同时色散多种能量的特征X射线。显示了天游线路检测中心 SXES 对碳材料进行点分析测量的示例。图 16 显示了对沸石进行 SXES 测量的尝试结果。该结果显示了沸石的三级氧Kα线,并且描述了在低加速电压和在低加速电压冷却(-50℃)以减少损坏的同时的测量结果。根据这些结果,获得了损伤影响按照低加速电压、低加速电压+冷却(-50℃)的顺序减小的谱。由于受到损伤的影响,观察到出现在 0175 keV 附近的肩峰降低,表明晶体结构被破坏[11]。通过以这种方式组合冷却机制和低加速电压,甚至可以分析沸石等热敏材料的化学状态,并且随着化学状态分析FE-SEM技术的发展,可以在低入射电压下获得高空间分辨率。
图。 15、SXES系统原理。

图。 16:介孔沸石LTA的SXES谱。

结论(总结、结论)
目前SEM应用于前沿基础研究、工厂产品检验,甚至一些小学的科学课,其应用范围正在不断扩大。另一方面,作者认为SEM仍有很大的发展空间。在本文中,我们从SEM、电子光学和低加速电压SEM配置的基础知识开始,天游线路检测中心最新的FE-SEM观察表面结构,天游线路检测中心俄歇电子能谱(AES)研究低加速电压条件下获得的图像对比度的来源,并天游线路检测中心特征X射线光谱(EDS或软X射线光谱)获得成分和化学键信息,以了解纳米结构材料表现出的性能。我们希望这一举措能够促进 SEM 技术的未来发展及其用途的扩大。
致谢
本文是上海科技大学与 JEOL 的联合研究项目。谨对双方的大力支持表示感谢,同时对今后将扫描电镜技术与基础科学发展联系起来的努力表示大力鼓励。感谢 Christian Mille 博士提供蝴蝶的彩色照片。
参考文献
- Z。 Liu、N Fujita、K Miyasaka、L Han、S M Stevens、M uga、S Asahina、B Slater、C Xiao、Y Sakamoto、M W Anderson、R Ryoo 和 O Terasaki:通过显微方法证明的纳米多孔材料精细结构的综述,显微镜, 62(1): 109-146.(2013).
- L。 Reimer:低压扫描天游线路检测中心显微镜中的图像形成,SPIE Press,(1993)。
- M。 Kobayashi、K Susuki、H Otsuji、Y Sakuda、S Asahina、N Kikuchi、T Kanazawa、Y Kuroda、H Wada、A Shimojima、K Kuroda:通过高分辨率超低电压扫描天游线路检测中心显微镜直接观察介孔二氧化硅薄膜的最外表面,朗缪尔, 33(9),第 2148-2156 页,(2017)。
- 识别和定量产品中所含(超)痕量成分和杂质的专业知识 - 从样品预处理到数据解释 - 第 9 章极小区域的结构观察第 10 节天游线路检测中心高分辨率 SEM 对纳米多孔材料进行结构观察,技术信息协会(2014 年)(日语)。
- R。 F皮斯;过程。 9 个中第症状。论天游线路检测中心、离子和激光束技术,第 14 页。 176,(旧金山出版社,旧金山,1967 年)。
- J。 Frosien、E Plies 和 K Anger:用于低压应用的复合磁性和静电透镜,J。真空。科学。技术. B7(6)(1989).
- Christian Mille、Eric C Tyrode 和 Robert W Corkery:具有从蝴蝶翅膀鳞片复制的双连续螺旋结构的无机手性 3-D 光子晶体,化学。交流., 2011,47, 9873-9875.
- D。 Briggs, M P Seah 编辑,“实用表面分析,第 1 卷 Auget 和 X 射线光天游线路检测中心能谱”,John Wiley & Sons (1990)。
- T。王、L Shi、J Tang、V Malgras、S Asahina、G Liu、H 张、X 孟、K Chang、J He、O Terasaki、Y Yamauchi、J Ye:Co3o4天游线路检测中心咪唑沸石骨架作为CO前体制备的嵌入多孔ZnO菱形十二面体2照片还原,纳米级 8(12)(2016).
- S。 Asahina、M Suga、H Takahashi、H Y Jeong、C Galeano、F Schuth 和 O Terasaki:天游线路检测中心低压高分辨率扫描电子显微镜直接观察和分析蛋黄壳材料:封装在金属氧化物、碳和聚合物中的纳米金属颗粒,APL 材料 2, 113317(2014).
- C Chen, Y Kang, Z Huo, Z Zhu, W Huang, H L 具有三维电催化表面的多金属纳米框架,科学, 343, 1339-1343,(2014).
- M。 Terauchi、H Yamamoto 和 M Tanaka:天游线路检测中心显微镜杂志, 50, 101,(2001).
- Y。 Sakuda、S Asahina、M Ishizaki、T Togashi 和 M Kurihara:通过扫描天游线路检测中心显微镜分析纳米多孔材料,沸石,卷。 34,第 1 号(2017 年)(日语)。
