功能
这是一种采用电子束轰击间接加热方式的真空蒸发源。
通过在传统型号(ty8天游官网登录-60310BDS)上添加光束扫描功能
功能包括高速率支持、厚膜形成以及对大型设备的支持。
更大容量的内胆。
高比率。与传统模型相比,Al 材料的功率提高了 10 倍,Ge 材料的功率提高了 40 倍。
兼容大型设备。即使T-S距离为11m也能获得足够的速率。
兼容厚膜。它还可用于红外应用。
速率稳定。我们已经实现了可升华材料的速率稳定,这对于传统模型来说是困难的。
它也继承了之前型号的特点,例如低损伤、低缺陷、低吸收。
轰击法加热原理(示意图)
扩大电子束照射范围/增加衬垫容量
通过电子束扫描功能,电子束照射范围比以前的型号要宽得多,从而可以增加内胆的容量。
| ty8天游官网登录-60610BDS | ty8天游官网登录-60310BDS | 常规比较 | |
|---|---|---|---|
| 氟化物内胆容量 | 128 cc | 75 cc | 17x |
| 用于铝内胆容量 | 90cc | 15cc | 60x |
兼容厚膜
增加内衬的容量会增加气相沉积材料的填充量。因此,单个衬管可沉积的最大薄膜厚度有所增加,使其与红外应用兼容。
此外,氟化镧等可升华材料的材料使用效率也得到了提高,而传统模型很难使用这些材料。
(最大膜厚为T-S距离为11m时)
| ty8天游官网登录-60610BDS | ty8天游官网登录-60310BDS | 常规比较 | |
|---|---|---|---|
| 氟化镁2汽化最大膜厚 | 400 纳米 | 200 纳米 | 20x |
| 拉F3汽化最大膜厚 | 400 纳米 | 90 纳米 | 45 倍 |
| 铝气相沉积最大膜厚 | 2500 纳米 | 250 纳米 | 100x |
| Ge沉积最大膜厚 | 600 纳米 | 未获取数据 | - |
| 硅气相沉积最大膜厚 | 400 纳米 | 未获取数据 | - |
兼容高速率/大型设备
扩大的电子束照射范围降低了电子束电流密度,从而可以在不损坏衬里的情况下增加最大输出。另外,由于电子束照射范围的扩大,蒸发面积也扩大。
通过增加最大输出和扩大蒸发面积来实现高速率。
在11 m的T-S距离下,Al的沉积速率为4 nm/s,Ge的沉积速率为1 nm/s,可与大型设备兼容。
(使用铝颗粒,T-S距离11 m)
输出与铝沉积速率
Ge 沉积示例
用于红外透射膜的锗也可以以高速率沉积(比传统方法快 40 倍),从而提高吞吐量。此外,内衬形状的设计可抑制蒸镀过程中的飞溅,从而实现稳定的蒸镀和低光吸收的成膜。
Ge 沉积实现的沉积具有比 EB 蒸发更低的飞溅和表面粗糙度值。
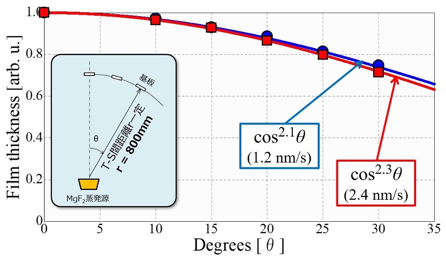
氟化镁2气相沉积示例
与ty8天游官网登录-60610BDS和EB相同条件下的MgF2沉积时的透射率和反射率总值的比较数据。
ty8天游官网登录-60610BDS 是 MgF,在 300 nm 附近具有低光吸收2
氟化镁2这是单层膜的膜厚分布数据。
铝气相沉积示例
ty8天游官网登录-60610BDS与EB蒸镀铝膜3批次反射率特性对比数据。
ty8天游官网登录-60610BDS 具有光谱特性高再现性(变化较小)和高反射率。
Al膜的算术表面粗糙度数据。与 EB 蒸镀相比,表面光滑度得到改善。
可沉积多种材料
以下是可以沉积的材料列表。需要适合每种沉积材料的衬里。
| 气相沉积材料 | 应用示例 |
|---|---|
| 氟化镁2,LiF,CaF2,YbF3 | AR(紫外线到红外线) |
| YF3 | AR、红外透射膜 |
| 拉F3 | AR、激光镜 |
| WO3 | 电致变色膜 |
| 二氧化硅 | AR(红外线)、保护膜 |
| 硅、锗 | 红外线透过膜 |
| 铝、银、铜、金 | 电极膜、反射膜 |
| 硫化锌 | 红外线透过膜 |
| 镁 | 电极膜 |
| 锡,In | 焊锡膜 |
低损伤沉积/低缺陷沉积/低吸收
相当于ty8天游官网登录-60310BDS,所以ty8天游官网登录-60310BDS
规格/选项
基本规格
| 输出 | 最大 48 kW (*1) |
|---|---|
| 冷却水 | 4~5L/min,水温10~25℃ |
| 工作压力 | 5×10-5~ 1×10-2帕 |
标准配置
| ty8天游官网登录-60610BDS | 轰击沉积源主体6点直线型(※2、※3) |
|---|
可选项目
| ty8天游官网登录-60600RF | 屋顶(6点)*4 |
|---|---|
| ty8天游官网登录-60620LN | 衬管(1 个用于氟化物的单衬管) |
| ty8天游官网登录-60660LN | 内衬(铝制内衬三件套) |
| ty8天游官网登录-60690SK | 封面*5 |
最大输出取决于衬管类型。电子枪电源ty8天游官网登录-72010ICE是兼容电源。
ty8天游官网登录-60610BDS 不包括衬垫。必须购买可选项目。衬垫极大地影响性能,因此请务必使用我们的可选产品。
有关更改内衬数量的信息,请单独联系我们。
用于抑制板温升。
它充当反射器以提高加热效率,建议经常使用。
兼容电子枪电源
| ty8天游官网登录-72010ICE | 1蒸发源规格 |
|---|---|
| ty8天游官网登录-72050ICE | 两种蒸发源规格 |
与 JST-F 系列不兼容。
ty8天游官网登录-60610BDS 仅适用于加速电压-6 kV。
建议使用 ACR 模式,以提高内衬温度分布均匀性。
外部尺寸
| 外部尺寸 | 345 毫米(宽)× 3555 毫米(深)× 1815 毫米(高) |
|---|---|
| 质量 | 22 公斤 |
适用灯丝
部件号 780034732
10片/盒
Φ08螺旋适用于 203 / 303
也可应用于102
适用灯丝组件
部件号:864560877
目录下载
相关产品
研发用ty8天游官网登录系列电子束蒸发设备
适合研发的电子束蒸发装置。通过添加各种可选机制,它可以用于多种用途。蒸发源可选用电子束蒸发源(电子枪)、轰击蒸发源、电阻加热蒸发源。还可以组合电子枪和轰击蒸发源,或者电子枪和电阻加热源。
