天游线路检测中心 Phyroset法(φ(ρz)法)
Phyroset法(φ(ρz)法)
Phi-Rho-Z法(φ(ρz)法)、PRZ
[目录:分析]
使用特征 X 射线进行定量分析(确定构成样品的元素的质量浓度)的定量校正方法之一。通过利用特征X射线发生量的深度分布(发生函数φ(ρz),其中ρ是质量密度,z是深度,ρz是质量深度),可以同时考虑ZAF校正中分别处理的原子序数效应和吸收效应,从而可以进行高精度校正。特别是,在分析与重元素共存的轻元素时、加速电压高、从样品内部更深处产生特征X射线等吸收效果大的条件下,可以进行比ZAF校正更高精度的定量分析。
将块体样品视为厚度为 Δ(ρz) 的薄膜分层层。在一定质量深度ρz(图1左图)处产生的特征X射线强度ΔI(ρz)在电子束到达质量深度ρz之前就被散射,因此需要将厚度为Δ(ρz)的单个薄膜产生的特征X射线强度ΔI(图1右图)乘以质量深度ρz处的生成函数φ(ρz)。

图 1 大块样品和薄膜样品之间电子剂量的差异。
(a) 散装样品,(b) 薄膜样品。对于块状样品,入射电子束在到达质量深度 ρz 之前被散射。因此,与薄膜具有相同厚度Δ(ρz)的层产生的特征X射线强度ΔI(ρz)与薄膜中产生的特征X射线强度ΔI不同,需要乘以生成函数。
已经提出了生成函数 φ(ρz) 的几种模型公式,一般来说,φ 相对于 ρz 的变化具有如图 2 所示的形状。一定的质量深度 (ρzm)。其原因是,电子的方向通过散射而改变,这增加了电子束穿过各层时的距离,增加了激发特征X射线的概率,而且还因为由于反向散射而从更深层返回的电子也有助于激发。 ρzm在更深的位置,φ(ρz) 减小。这是因为,由于散射而穿透到该深度的电子数量很少,并且电子的能量被衰减,从而无法激发特征X射线。

图2 生成函数 φ(ρz)
特征X射线生成函数φ(ρz)的质量深度ρz依赖性。一般为一定的质量深度ρzm并在此之后减少。
在一定质量深度ρz处产生的元素A的特征X射线强度ΔIA(ρz) 为质量浓度 CA

然而,ΔIA是从质量厚度为 Δ(ρz) 的单个薄膜样品发射的元素 A 的特征 X 射线强度,CA是元素 A 的质量浓度 [质量%], φA(ρz) 是元素 A 的出现函数,ρ 是样品的质量密度,z 是样品的深度。
另外,生成的特征X射线ΔIA(ρz) 会根据其在释放到样品外之前穿过样品的距离进行吸收(图 3)。吸收的大小取决于 X 射线通过的距离,同时考虑样品的质量吸收系数和探测器的起飞角,并表示为衰减指数函数。因此,朝向样品外部探测器的特征 X 射线强度 ΔI’A(ρz) 是

然而,[μ/ρ]是样品中对元素A的特征X射线的质量吸收系数,θ是检测器相对于样品表面的提取角。

图3 特征X射线在被检测到之前穿过样品的距离
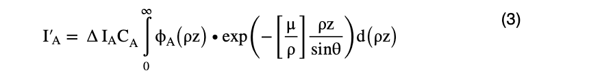
在进入探测器之前,在特定质量深度 ρz 处生成的特征 X 射线在样品中具有 t = ρz/sinθ
检测到的特征X射线强度I’A通过对方程(2)对质量深度ρz进行积分可得,

因此,标准样品(化学成分已知的样品)和未知样品的检测到的特征X射线强度的比率表示如下。

但是
是在未知样品中检测到的元素 A 的特征 X 射线强度,
是标准样品中检测到的元素 A 的特征 X 射线强度,
是未知样品中元素A的质量浓度,
为标准样品中元素A的质量浓度,
(ρz)为元素A在未知样品中的出现函数,
(ρz)为元素A在标准样品中的出现函数,
是未知样品中元素 A 的特征 X 射线的质量吸收系数,
表示标准样品中元素A的特征X射线的质量吸收系数。
= K(K比),可变换如下。

是 φ(ρz) 方法中原子序数效应和吸收效应的修正项。
另外,与ZAF校正类似,荧光校正(
),则φ(ρz)方法的定量修正系数(G)为

参考文献:
约瑟夫·I·戈尔茨坦、戴尔·E·纽伯里、约瑟夫·R·迈克尔、尼古拉斯·WM Ritchie、John Henry J Scott 和 David C Joy (2017)“扫描电子显微镜和 X 射线显微分析 4第版本”施普林格。
Phi-Rho-Z法(φ(ρz)法)是利用电子束产生的特征X射线获得样本的构成元素的质量浓度的定量校正方法之一。
该方法使用所生成的特征X射线的深度分布,其中同时考虑了原子序数(Z)效应和(A)效应。然后,与分别处理这两种影响的 ZAF 校正方法相比,φ(ρz) 方法提供了更高的校正精度。特别是,尤其是在需要精确吸收校正的情况下,φ(ρz)方法可以提供比ZAF校正更准确的结果;适用于由光吸收元素和重元素组成的定量吸收样品,以及入射电子束的高加速电压,其中特征 X 射线在样品的深层区域产生。特征 X 射线的深度分布由函数 φ(ρz) 给出,其中 ρ 是质量密度,z 是距样品表面的深度,然后 ρz 表示质量深度。
考虑由厚度为 Δ(ρz) 的薄层堆叠组成的块状样本。从某一质量深度ρz处的层产生的特征X射线强度ΔI(ρz)(图1左图)与特征函数φ(ρz)的强度不同,因为电子束在到达质量深度ρz处的层之前发生了散射。

图。图 1 大块样本 (a) 和单个薄膜样本 (b) 所产生的特征 X 射线强度的差异。在块状样品中,入射电子束发生散射,直到电子束到达质量深度 ρz 处的层。因此,在深度 Δ(ρz) 处生成的特征 X 射线强度 ΔI(ρz) 需要将生成函数 φ(ρz) 乘以来自单个薄膜样本的特征 X 射线强度 ΔI。
已经提出了一些 φ(ρz) 的模型函数。它们具有如图 2 所示的 ρz 依赖性。也就是说,φ(ρz) 的值增加到质量深度 (ρzm)由于电子束通过散射改变其行进方向,并且每层中的飞行距离变长,从而增加了特征X射线的激发概率。此外,来自样本较深区域的反向散射有助于增加 X 射线的产生。当深度大于ρz时,φ(ρz)的值减小m因为,通过散射,穿透电子的数量减少,穿透电子能量变小,激发特征X射线。

图。 2 生成函数 φ(ρz)
特征 X 射线生成函数 φ(ρz) 与质量深度 (ρz) 的相关性。该函数增加到一定的质量深度 ρzm,并在深度之外减小。
特征X射线强度ΔIA在一定质量深度ρz处生成的元素A的(ρz)由以下等式表示,

这里,ΔIA是质量厚度为Δ(ρz), C的薄膜样品发射的元素A特征X射线的强度A为元素A的质量浓度[质量%],φA(ρz) 是元素 A 的生成函数,ρ 是样品的质量密度,z 是样品的深度。
特征X射线强度ΔIA(ρz) 遭受吸收,这取决于样本中特征 X 射线的路径长度,直到这些 X 射线从样本中发射出来为止(图 3)。A由X射线探测器(置于标本外部)测量的(ρz)表示为

这里,[μ/ρ] 是样品中元素 A 特征 X 射线的质量吸收系数,并且θ是 X 射线探测器相对于样本表面的起飞角度。

图。 3 样本中特征 X 射线朝向 X 射线探测器的路径长度。路径长度表示为 t = ρz/sinθ,其中 ρz 是质量深度,θ是X射线探测器相对于样本表面的起飞角度。
特征X射线强度ΔI’A检测到的是通过对方程(2)对质量深度ρz积分得到的,并表示为

因此,检测到的未知样本与标准样本(化学成分已知)的特征X射线强度比由以下等式表示。

这里,
是从未知样品中检测到的元素 A 的特征 X 射线强度,并且
是从标准样品中检测到的元素A的特征X射线强度。
是未知样品中元素 A 的质量浓度,并且
为标准样品中元素A的质量浓度。
(ρz) 是未知样品中元素 A 的生成函数,并且
(ρz)为标准样品中元素A的生成函数。
是未知样品中元素A特征X射线的质量吸收系数,并且
为标准样品中元素A特征X射线的质量吸收系数。
然后,
使用方程
= K(K比),式(4)改写为

是 φ(ρz) 方法中原子序数效应和吸收效应的校正因子。另外,与ZAF校正的情况一样,通过考虑荧光校正因子(
),φ(ρz)方法中的定量修正因子(G)最终变为

参考:
约瑟夫·I·戈尔茨坦、戴尔·E·纽伯里、约瑟夫·R·迈克尔、尼古拉斯·WM Ritchie、John Henry J Scott 和 David C Joy (2017)“扫描电子显微镜和 X 射线显微分析 4第版本”施普林格。
从相关字词搜索
"Phyroset 法(φ(ρz) 法)
