汽车内部挥发性有机化合物的热解吸-GC-MS天游ty8检测中心
MS 提示第 435 号
简介
热解吸(TD)是一种GC预处理装置,用于引入大气或室内空气等气体样品。它还可用于固体或液体样品产生的气体。图 1 显示了 TD 操作的概述。 ① 取样:使用泵等将气体样品充气到装有吸附剂的样品管中并收集。 ②管解吸:样品管在TD装置中被加热,解吸的气体被收集在冷却的聚焦阱中。 ③ 阱解吸:聚焦阱高速加热,解吸气体以窄带宽引入GC。这两步热解吸使得可以获得高灵敏度和尖锐的色谱峰。
本 MSTips 介绍了天游ty8检测中心车内挥发性有机化合物 (VOC) 的示例,这是 TD-GC-MS 的主要应用之一。实验中使用TD-100xr(Markes International Ltd)和JMS-Q1600GC(JEOL)。天游ty8检测中心条件基于国际标准ISO 12219-1和JASO Z125。

图1 TD操作概述
TD-100xr 功能
DiffLok 盖:测量期间无需从样品管中取下
电冷聚焦阱:无需制冷剂即可冷却至-30°C
样品回收功能:收集捕集器解吸过程中的分流并重复使用样品
图2 TD-100xr的特点
关于要测量的组件
我们测量了已设定车内浓度指导值并指定 TD-GC-MS 作为测量方法的 VOCs7 成分。我们还测量了目前正在进一步研究的三个成分。表1所示为厚生劳动省规定的浓度指导值。
表1浓度指导值(左:当前7种成分,右:另外3种成分)
| 名称 | 浓度(微克/立方米)3) |
|---|---|
| 甲苯 | 260 |
| 二甲苯 | 200 |
| 乙苯 | 3800 |
| 苯乙烯 | 220 |
| 十四烷 | 330 |
| 邻苯二甲酸二丁酯:DBP | 17 |
| 邻苯二甲酸二(2-乙基己基)酯):DEHP | 100 |
| 名称 | 浓度(微克/立方米)3) |
|---|---|
| 2-乙基-1-己醇 | 130 |
| 德克萨斯醇 | 240 |
| 2,2,4-三甲基-1,3-戊二醇二异丁酸酯:TXIB | 100 |
实验
对于当前的七种组分,将1、10和100 ng的混合标准溶液添加到样品管中。对于另外的三种组分,将 50 ng 混合标准溶液添加到样品管中。根据 ISO12219-1 的规定,3L 采样体积的浓度为 03、3 和 30 μg/m3和15微克/立方米3也可作为内标甲苯-d847 ng 添加到样品管中。添加这些标准溶液时使用特殊工具,可以轻松收集全部量(图 3)。 TD-GC-MS的测定条件如表2所示。这次,我们分别测量了当前的七个组件和三个附加组件,但也可以同时测量。
图3解决方案加载工具
表2测量条件
| TD条件 | |
|---|---|
| 热解吸 | TD-100xr(马克国际有限公司) |
| 样品管类型 | 特纳克斯 TA |
| 管解吸 | 280°C(10 分钟),30 mL/min,不分流 |
| 聚焦陷阱类型 | 通用疏水 (T2) |
| 陷阱冷却 | 0°C |
| 陷阱解吸 | 280°C(3 分钟),2 0mL/分钟,分流 20:1 |
| 流路温度 | 200°C |
| GC 条件 | |
|---|---|
| 气相色谱仪 | 8890A GC(安捷伦科技) |
| 列 | ZB-5MSi (Phenomenex)30米×025毫米,025微米 |
| 烤箱温度 | 40°C(2 分钟)-15°C/分钟-320°C(10 分钟) |
| 载流 | 氦气,10 毫升/分钟 |
| MS 条件 | |
|---|---|
| 光谱仪 | JMS-Q1600GC(天游线路检测中心有限公司) |
| 电离 | EI+:70 eV,50 μA |
| 离子源温度 | 250°C |
| 质量范围 | 扫描,m/z 45-500 |
当前7个分量的测量结果
图 4 显示 100 ng/管的 TIC 色谱图。由于二甲苯有 3 个异构体和 2 个峰,因此峰总数为 8。

图 4 100 ng/管的 TIC 色谱图
图 5 中的 DBP (m/z149) 和 DEHP (m/z149)的提取离子色谱图(EIC)和校准曲线。所有组分在浓度下限下均获得良好的峰形和信噪比灵敏度。此外,校准曲线的确定系数为0999或更高,表明线性良好。

图 5 EIC 和校准曲线(左:DBP,右:DEHP)
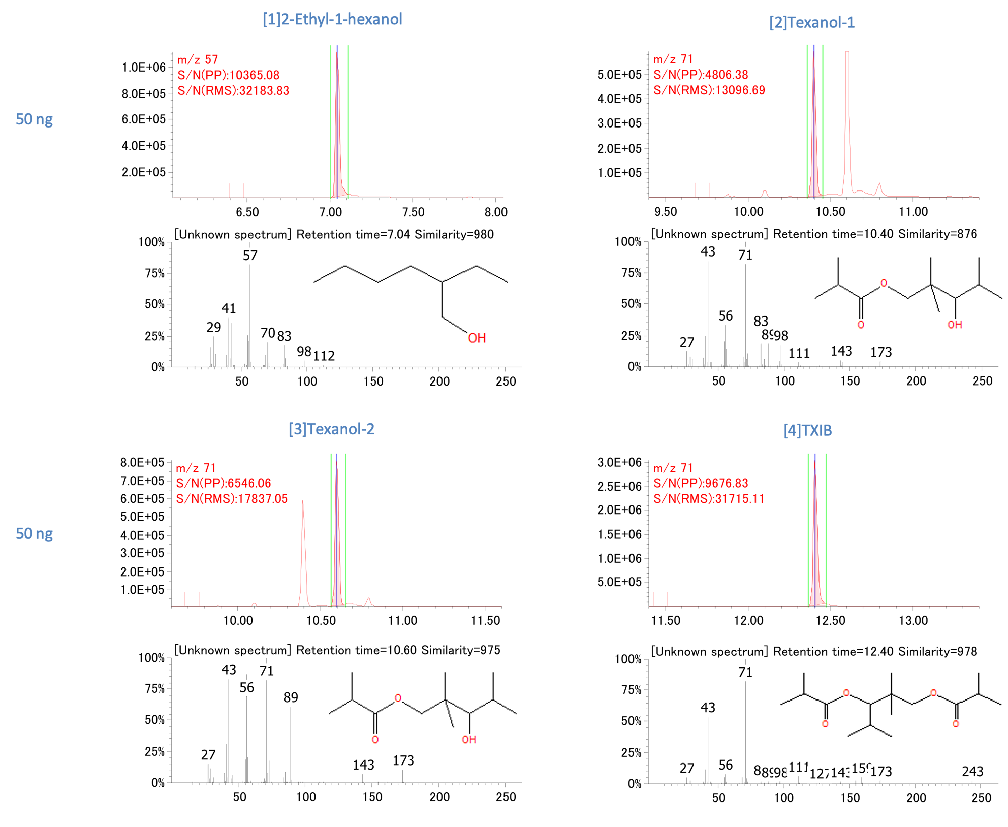
三个附加组件的测量结果
图6显示了50 ng/管的TIC色谱图。 Texanol 有两种异构体并有两个峰,因此峰总数为四个。

图 6 50 ng/管的 TIC 色谱图
图7显示了各成分的提取离子色谱图(EIC)和质谱图。所有组分均获得良好的峰形和信噪比灵敏度。
*Texanol-1 和 Texanol-2 具有不同的结构,但在文库数据库中仅注册了一种,并且两个峰都达到了相同的结构。

图 7 EIC 和质谱
摘要
TD-100xr 和 JMS-Q1600GC 可以以高灵敏度和良好的线性天游ty8检测中心当前车内 VOC 的 7 种成分和 3 种附加成分。这些设备预计可用于天游ty8检测中心大气和室内空气等气体样本。
